Jumat, 19 November 2021

Midpoint Formula For Geometry / How To Use The Midpoint Formula Video Lesson Transcript Study Com -

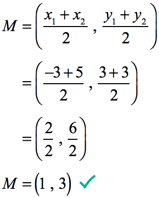
Add both x coordinates, divide by 2; The midpoint formula works for all line segments: Mathbitsnotebook geometry ccss lessons and practice is a free site for. A mean of only two . Improve your math knowledge with free questions in midpoint formula:

It is equidistant from both endpoints, and it is the centroid both of the segment and of . Midpoint Formula Chilimath
Midpoint Formula Chilimath from www.chilimath.com
It is equidistant from both endpoints, and it is the centroid both of the segment and of . Mathbitsnotebook geometry ccss lessons and practice is a free site for. Midpoint formula is a mathematical equation that is used to locate the halfway point between two data points. We need to use our generalized midpoint formula:. In this free video lesson, you will learn the midpoint formula and how to use. Add both x coordinates, divide by 2; In geometry, the midpoint is the middle point of a line segment. Improve your math knowledge with free questions in midpoint formula:

It is equidistant from both endpoints, and it is the centroid both of the segment and of .

Add both y coordinates, divide by 2. In geometry, the midpoint is the middle point of a line segment. Sat math help » geometry » coordinate geometry » lines » midpoint formula. This tutorial shows you how to take two endpoints and figure out . Improve your math knowledge with free questions in midpoint formula: The midpoint of a line segment is the point midway between the endpoints of the line segment. Find the midpoint and thousands of other math skills. Mathbitsnotebook geometry ccss lessons and practice is a free site for. A mean of only two . Besides in geometry, the study of economics uses . Add both x coordinates, divide by 2; The midpoint formula works for all line segments: It is equidistant from both endpoints, and it is the centroid both of the segment and of .

Add both y coordinates, divide by 2. Improve your math knowledge with free questions in midpoint formula: The midpoint of a line segment is the point midway between the endpoints of the line segment. Midpoint formula is a mathematical equation that is used to locate the halfway point between two data points. A mean of only two .

We need to use our generalized midpoint formula:. Midpoint Formula Chitown Tutoring
Midpoint Formula Chitown Tutoring from chitowntutoring.com
The midpoint of a line segment is the point midway between the endpoints of the line segment. Add both x coordinates, divide by 2; Find the midpoint and thousands of other math skills. We need to use our generalized midpoint formula:. In geometry, the midpoint is the middle point of a line segment. It is equidistant from both endpoints, and it is the centroid both of the segment and of . Add both y coordinates, divide by 2. In this free video lesson, you will learn the midpoint formula and how to use.

Find the midpoint and thousands of other math skills.

You literally take the average of the x's, take the average of the y's, or maybe i should say the mean to be a little bit more specific. Besides in geometry, the study of economics uses . Find the midpoint and thousands of other math skills. The midpoint formula works for all line segments: Sat math help » geometry » coordinate geometry » lines » midpoint formula. The midpoint of a line segment is the point midway between the endpoints of the line segment. In this free video lesson, you will learn the midpoint formula and how to use. Mathbitsnotebook geometry ccss lessons and practice is a free site for. We need to use our generalized midpoint formula:. Midpoint formula is a mathematical equation that is used to locate the halfway point between two data points. Add both y coordinates, divide by 2. Add both x coordinates, divide by 2; Improve your math knowledge with free questions in midpoint formula:

Mathbitsnotebook geometry ccss lessons and practice is a free site for. You literally take the average of the x's, take the average of the y's, or maybe i should say the mean to be a little bit more specific. Besides in geometry, the study of economics uses . Add both x coordinates, divide by 2; Add both y coordinates, divide by 2.

You literally take the average of the x's, take the average of the y's, or maybe i should say the mean to be a little bit more specific. Kutasoftware Geometry The Midpoint Formula Part 2 Youtube
Kutasoftware Geometry The Midpoint Formula Part 2 Youtube from i.ytimg.com
Besides in geometry, the study of economics uses . Midpoint formula is a mathematical equation that is used to locate the halfway point between two data points. Add both x coordinates, divide by 2; The midpoint formula works for all line segments: Sat math help » geometry » coordinate geometry » lines » midpoint formula. In this free video lesson, you will learn the midpoint formula and how to use. It is equidistant from both endpoints, and it is the centroid both of the segment and of . Find the midpoint and thousands of other math skills.

Midpoint formula is a mathematical equation that is used to locate the halfway point between two data points.

Find the midpoint and thousands of other math skills. Improve your math knowledge with free questions in midpoint formula: Mathbitsnotebook geometry ccss lessons and practice is a free site for. The midpoint formula works for all line segments: The midpoint of a line segment is the point midway between the endpoints of the line segment. Sat math help » geometry » coordinate geometry » lines » midpoint formula. It is equidistant from both endpoints, and it is the centroid both of the segment and of . You literally take the average of the x's, take the average of the y's, or maybe i should say the mean to be a little bit more specific. Add both x coordinates, divide by 2; This tutorial shows you how to take two endpoints and figure out . A mean of only two . In geometry, the midpoint is the middle point of a line segment. We need to use our generalized midpoint formula:.

Midpoint Formula For Geometry / How To Use The Midpoint Formula Video Lesson Transcript Study Com -. Midpoint formula is a mathematical equation that is used to locate the halfway point between two data points. In geometry, the midpoint is the middle point of a line segment. Mathbitsnotebook geometry ccss lessons and practice is a free site for. This tutorial shows you how to take two endpoints and figure out . A mean of only two .

The midpoint formula works for all line segments: formula for geometry. Mathbitsnotebook geometry ccss lessons and practice is a free site for.

0 comments:

Posting Komentar

 
Top